Description
SIWOM1 series MCCB
Product General
SIWOM1 moulded case circuit-breakers (hereinafter referred to as circuit-breakers) use thermomagnetic tripper and they are developed and manufactured by the Company with the latest circuit-breaker technology. The circuit-breakers are featured by good-looking appearance, compact structure, long service Iife, low rated power consumption, stable performance, easy installation and superior performance, and they provide users with safe and reliable Protection. The circuit breaks has disconnecting function
Indication of 0 and OFF positions is provided, and when the contact is open, the handle points at 0 and OFF positions; The position of rotary handle or operating mechanism is consistent with the noumenon , which does not affect reliability of the circuit-breakers
Reverse incoming line is not allowed for the circuit-breakers, and only Pole 1, 3 and 5 are allowed to connect with the power supply line and Pole 2, 4 and 6 with the load line
The circuit-breakers may be installed vertically (i.e., vertical installation) or horizontally (i.e., horizontal installation).
Current limiting capability is provided; the whole series are designed to have a current limiting acting mechanism that extinguishes the electric arc before the expected short-circuit current reaches its peak to suppress the impact of short-circuit current on the circuit. The actual and expected breaking short-circuit current peaks of current limiting acting mechanism are shown in the figure
Operating environment
The ambient air temperature should be not higher than +40℃ and the average temperature within 24 hours should be not higher than +35℃
The lower limit of ambient air temperature is -5℃. If the ambient air temperature is higher than +40℃ but less than +60℃ , the rated current value may be lowered according to the temperature derating factor table,
Able to withstand the impact of damp air;
Able to withstand the impact of salt mist and oil mist;
In medium without explosion hazard where there is no enough gas that can corrode metal and damage the insulation and conductive dust;
In the places without exposure to rain and snow;
The altitude of the installation site should be not more than 2,000m,
Maximum angle of inclination is 22.5;
Working environment: The pollution degree is Level 3,
Installation class: Ill
Main features of SIWOM 1 circuit-breakers
1 、The circuit-breakers have merits of multiple protection functions (overload, short circuit, under voltage protection, etc.), adjustable action value, strong breaking capability, easy operation, safety, etc., therefore they are widely used now;
2、The circuit-breakers may be used to connect and disconnect load circuit or control motors that do not start frequently. Their functions are similar to total functions of some or all of the electric equipment such as knife switch, overcurrent relay, under voltage relay, thermal relay, leakage protector, etc., and they are important protective devices in the low-voltage power distribution network:
3、 The circuit-breakers are internally more sophisticated, but relatively simple in principle. They connect with inductor between the incoming and outgoing lines. When the current exceeds the rated value, the coil drives the iron core to provide protection;
4、After the main contact of the circuit-breakers is manually or electrically closed, the free tripping mechanism locks the main contact at the closing position. Coil of overcurrent tripper and thermal element of thermal tripper are connected with the main circuit in series and coil of under voltage tripper is connected with the power supply in parallel. When the circuit is short-circuited or severely over loaded, the armature of overcurrent tripper is closed so that the free tripping mechanism acts and the main contact disconnect the main circuit. When the circuit is over loaded, the thermal element of the thermal tripper is heated so that the bimetallic strip is bent to push the free tripping mechanism to act. When the circuit is under voltage, the armature of under voltage tripper is released to make the free tripping mechanism act. The shunt tripper is used for remote control, whose coil is powered-off during the normal operation; when remote control is required, press the shunt button to make the coil powered-on so that the armature drives the free tripping mechanism to act to make the main contact disconnected:
5、The dynamic contact, static contact and contact lever of the circuit-breakers are designed to be parallel , the electric repulsion generated by short circuit disconnects the dynamic and static contacts, and breaking capability and current limiting capability are high;
6、The arc extinguish chamber of circuit-breakers has a metal grid-plate structure , the contact system is provided with a repulsion current limiting mechanism, and therefore, the circuit-breaker has high breaking capability and current limiting capability;
7、The circuit-breakers are provided with a compound tripper. Inverse time limit action is that the bimetallic strip is bent by heating to drive the tripper to act, and instantaneous action is that the iron core armature mechanism drives the tripper to act Tripping modes include thermal , electromagnetic and compound tripping
Scope of application of SIWOM 1 circuit-breakers
SIWOM1 moulded case circuit-breakers, whose rated insulation voltage is 800V (500V for SIWOM 1-63). They are applicable to infrequent operation and infrequent motor startup in the circuits with AC frequency of 50/60Hz, rated operational voltage of 690V and below, and rated operational current of up to 800A (lnm≤630A and below). The circuit-breakers provide overload, short circuit and under voltage protection, which can protect the circuit and power supply device from damage;
In accordance with the rated ultimate short-circuit breaking capacity, the circuit-breakers can be divided into three types of L (Standard type),
M (Moderate breaking type) and H (High breaking type); The circuit-breakers are featured by small volume, strong breaking capability, short flash over, anti-vibration, etc,
The rated ultimate short-circuit breaking capability 35-50kA is mainly applicable to civil residential buildings, shopping malls, hospitals, schools, public buildings, and industrial plants; The ultimate limit short-circuit breaking capability 70-100kA is mainly applicable to power supply-level power equipment.
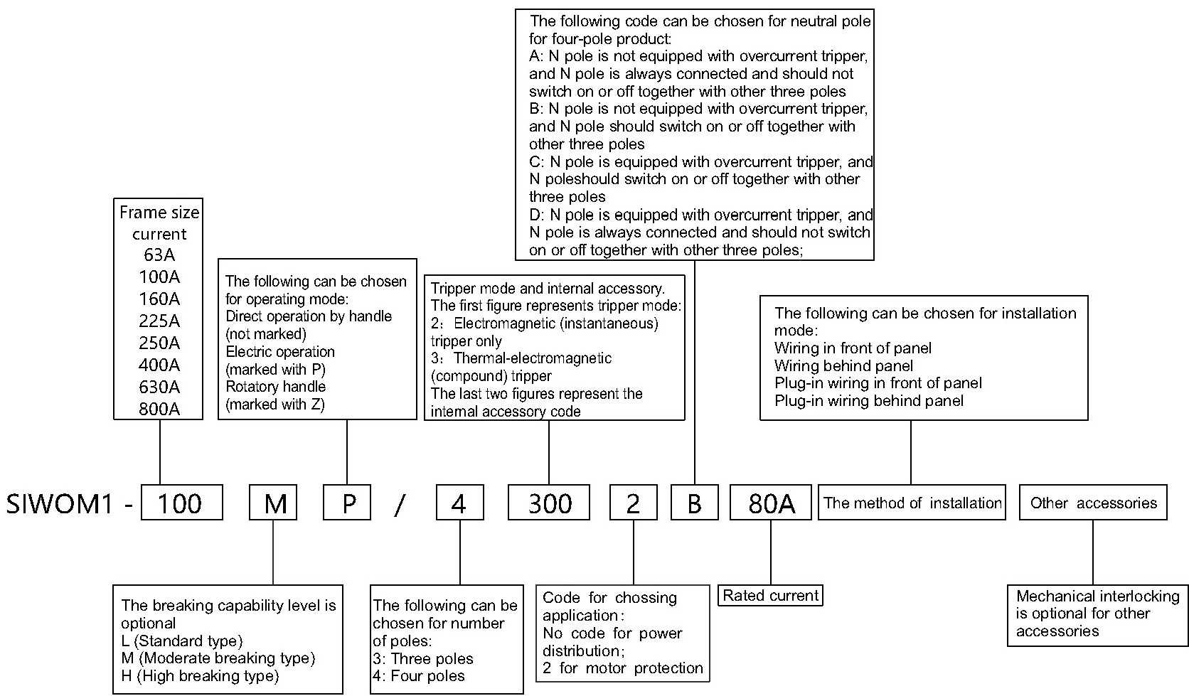
Model description

1 、 Frame size rated current

2、The rated ultimate short-circuit breaking capacity level is divided into: L (Standard type), M (Mode rate breaking type), H (High breaking type)
3、Operation mode: Direct operation with handle (not marked); Electric operation (marked with P); Rotatory handle (marked with Z)
4、Number of poles: 3, 4
5、Tripper mode type and accessory code are shown in the following table
6、N pole type: The type of neutral pole (N) of four-pole product is divided into four kinds
Type A: N pole is not equipped with overcurrent tripper, and N pole is always connected and shouId not switch on or off together with other three poles;
Type B: N pole is not equipped with overcurrent tripper, and N pole should switch on or off together with other three poles (N pole should first switch on and then switch off)
Type C: N pole is equipped with overcurrent tripper, and N pole shouId switch on or off together with other three poles (N pole should first switch on and then switch off);
Type D: N pole is equipped with overcurrent tripper, and N pole is always connected and should not switch on or off together with other three poles;
Note: In TN-CS and TN-S systems with equipotential bonding implemented in the buildings, Type A or D is recommended for neutral pole type
7、Trippers are divided into instantaneous tripper and compound tripper(instantaneous tripper and thermal tripper) by current
8、 Accessories are divided into internal and external accessories
Internal accessories include shunt tripper, under voltage tripper, auxiliary contact, alarm contact, and auxiliary alarm contact, External accessories include rotatory handle operating mechanism, mechanical interlocking mechanism, and so on
9、Rated voltage 400V is not marked, and 690V is required to be marked
Quick Model Selection Table of SIWOM1 circuit-breaker

Tripper mode and internal accessory code of SIWOM1 circuit-breakers

Note:
1、200: Refer to circuit-breakers with electromagnetic tripper only; 300: Refer to circuit-breakers with thermal - electromagnetic tripper;
2、For SIWOM1-100, 160, 225 and 250 four-pole circuit-breakers, when N pole is Type A and Type D, 240, 340, 360, 260, 268, and 368 are not available;
3、 For SIWOM1-400, 630 and 800, a pair of auxiliary contacts are provided for 248, 348, 278 and 378 (namely, one normally open and one normally closed)and three pairs of auxiliary contacts of other specifications ,SIWOM1-400 and above is two pairs and SIWOM1-250 and below one pair
4、For SIWOM1-63, 100, 160, 225 and 250, two pairs of auxiliary contacts (namely, two normally open and two normally closed) may be provided for 220, 320, 240, 340, 270 and 370 and three pairs of contacts for 260 and 360 (namely, three normally open and three normally closed), which must be marked when ordering goods。
Main technical perormance index of SIWOM1 circuit-breakers


